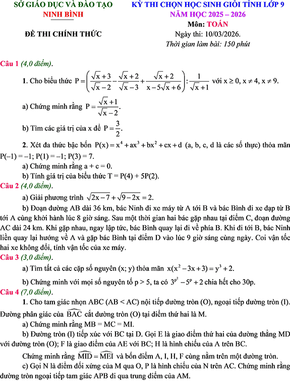
Đề thi HSG Toán 9, tỉnh Ninh Bình năm học 2025-2026

Chủ nhật - 22/03/2026 13:23
BBT website trường THCS Hoàng Xuân Hãn giới thiệu cùng các Thầy - Cô giáo và các em học sinh: Đề thi HSG Toán 9, tỉnh Ninh Bình năm học 2025-2026

Đề thi HSG Toán 9, tỉnh Ninh Bình năm học 2025-2026

ninh binh 1
ninh binh 2
 

Tổng số điểm của bài viết là: 0 trong 0 đánh giá

Click để đánh giá bài viết

  Ý kiến bạn đọc

Những tin mới hơn

Những tin cũ hơn

Gửi phản hồi
Bạn đã không sử dụng Site, Bấm vào đây để duy trì trạng thái đăng nhập. Thời gian chờ: 60 giây